MusicaInfo
Rendez visite à nos partenaires :
Musicainfo Instagram - cliquer ici
Accueil | Recherche | Panier | Mon compte | Mon Radio | Blog | S'inscrire | Ouvrir une session Deutsch|English|Español|Italiano|Nederlands
 Base de données
Partitions
CDs/DVDs
Ouvrages spécialisés
Accessoires
Sous-catégories
Compositeurs / collaborateurs
Éditeurs de musique
Partenaires de livraison
Abréviations
Blog
Radio
Recherche rapide:
 Informations
Qui sommes-nous ?
Pièces de classement (at, ch, de)
Contactez-nous
Rendez visite à nos partenaires :
Musicainfo Bluesky - cliquer ici
PartitionsPartitions
Dance Movements - cliquez pour agrandir l'image
cliquez pour agrandir l'image
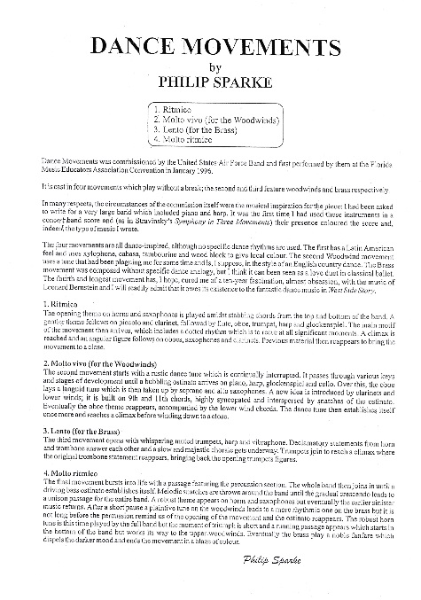
Dance Movements - Extrait du conducteur
Extrait du conducteur
Titre Dance Movements
Référence article 9142001
Catégorie Harmonie/Fanfare/Brass-band
Sous-catégorie Musique à vent contemporaine (1945-présent)
Instrumentation Ha (orchestre d'harmonie)
Format/Umfang PrtStm (partition et pièces)
Pays de publication Royaume-Uni (uk)
Editeur * Les champs signalés par un astérisque (*) ne sont accessibles qu'aux membres de l'association après ouverture d'une sessioncliquer ici
Référence article / fournisseur * Les champs signalés par un astérisque (*) ne sont accessibles qu'aux membres de l'association après ouverture d'une sessioncliquer ici
Titre de la collection Prestige Series
Année de publication 1997
Prix Connectez-vous pour afficher le prix.cliquer ici
Compositeur Sparke, Philip
Niveau 6
Degrés par pays A5 (Autriche niveau E); C5 (Niveau supérieur - Suisse); D6 (division Honneur - Allemagne)
Durée 19:40
Informations complémentaires/contenu "Dance Movements" est une commande de l'United States Air Force Band, qui l'a créée en février 1996. Tour de force pour un grand orchestre, l'œuvre se présente en quatre mouvements continus qui ont pour base des rythmes et des humeurs de danse. Le deuxième mouvement met en vedette les bois et le troisième est pour les cuivres. Lauréat du prestigieux "Sudler Award" pour la nouvelle musique pour orchestre d'harmonie 1997.
No. Titre Durée Extrait sonore
1 Ritmico 3:21 cliquer ici
2 Molto vivo (for woodwinds) 4:47 cliquer ici
3 Lento (for brass) 4:13 cliquer ici
4 Molto ritmico 6:59 cliquer ici
Extrait du conducteur Extrait du conducteur cliquer ici
Partition de démonstration * Partition de démonstrationLes champs signalés par un astérisque (*) ne sont accessibles qu'aux membres de l'association après ouverture d'une sessioncliquer ici
Extrait sonore * Partition de démonstrationLes champs signalés par un astérisque (*) ne sont accessibles qu'aux membres de l'association après ouverture d'une sessioncliquer ici
Extrait vidéo * Extrait vidéoLes champs signalés par un astérisque (*) ne sont accessibles qu'aux membres de l'association après ouverture d'une sessioncliquer ici
Écouter sur Musicainfo Radio * Musicainfo RadioLes champs signalés par un astérisque (*) ne sont accessibles qu'aux membres de l'association après ouverture d'une sessioncliquer ici
Disponible oui oui
ergänzender Text * texte complémentaireLes champs signalés par un astérisque (*) ne sont accessibles qu'aux membres de l'association après ouverture d'une sessioncliquer ici
Format/Umfang
Dance Movements - cliquer ici Dance Movements (orchestre d'harmonie), partition et pièces
Dance Movements - cliquer ici Dance Movements (orchestre d'harmonie), partition
2003 Midwest Clinic: Birmingham Symphonic Winds - cliquer ici 2003 Midwest Clinic: Birmingham Symphonic Winds, Audio-CD
American Winds - cliquer ici American Winds, Audio-CD
Great British Music for Wind Band #5: Venetian Spells - cliquer ici Great British Music for Wind Band #5: Venetian Spells, Audio-CD
Jubiläums-CD - cliquer ici Jubiläums-CD, 2 compact discs  épuisé   Fin de série disponible 
Wind Dances - cliquer ici Wind Dances, Audio-CD

panier Pour commander cet article, veuillez vous identifier (cliquez ici).


Retour au dernier formulaire de recherche.

Retour à la dernière liste de résultats.

*Les champs signalés par un astérisque ne sont accessibles qu'aux membres de l'association après ouverture d'une session.

Adobe Reader vous sera nécessaire pour visualiser les exemples musicaux. Vous pouvez télécharger gratuitement ce logiciel en cliquant sur le lien suivant.

Adobe Reader

Un lecteur MP3 vous sera nécessaire pour écouter les extraits sonores. Vous pouvez en télécharger gratuitement en cliquant sur un des liens suivants.

Vous ne vous êtes pas identifié : s'inscrire ou ouvrir une session
Rendez visite à nos partenaires :
Musicainfo Linkedin - cliquer ici
Nos bannières publicitaires | Pour les éditeurs et les revendeurs | Lettre d'information
Collecte de données Copyright 1983-2025 Helmut Schwaiger. Conception de base de données et de site Web Copyright 2002-19 Robbin D. Knapp.